PROBLEM LINK:
Author: Muneeb Hussaini
Tester: Srilekhya, Chitturi Sai Suman
Editorialist: Muneeb Hussaini
DIFFICULTY:
Easy
PREREQUISITES:
None
PROBLEM
Given a positive integer n, find the sum of all of its prime factors which are also perfect squares.
QUICK EXPLANATION
This is just an implementation problem. We iterate over i\ \forall\ i \isin[1, \sqrt{N}] and check if i^2 divides N. If i^2 divides N, we add it to our result.
EXPLANATION
The problem can be easily solved by considering that if i^2 is a factor of N, then i is a factor of N as well.
Hence, we need not iterate up to all the factors of N but simply until all factors up to \sqrt{N}.
-
A variable sum is taken to store the sum of the square factors.
-
i is iterated from 1 to \sqrt{N}. If N is divisible by i then i^2 is checked. If i^2 is also a factor of N then sum is incremented by i^2.
ALTERNATIVE EXPLANATION
The given problem can be solved in O(log n) time by using the Smallest Prime Factor concept.
This method removes the need to traverse all i up to \sqrt{N}. The prime factorization of N is obtained using the Smallest Prime Factor concept.
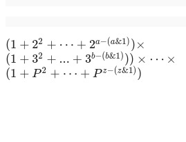
N = 2^a \times 3^b \times 5^\times \dots \times P^p
Using this representation we can find the sum of square factors.
Formula:

Calculating the result becomes easier when we can write each term as a sum of terms in GP.
SOLUTIONS:
Setter's Solution
import math as m
def func():
n = int(input())
sqf = []
for i in range(int(m.sqrt(n)), 1, -1):
if n%i == 0:
a = i*i
if n%a == 0:
sqf.append(a)
return sum(sqf) + 1
T = int(input())
for i in range(T):
print(func())
Time Complexity: O(\sqrt{N}) per test case
Tester's Solution, using SPF concept
from math import sqrt
from collections import defaultdict
def computeSPF():
# Computes Smallest Prime Factor of all n <= max(N) in (N log N) time
# Code available in GFG
size = 10**6 + 2 # Maximum value of N
# Assume Smallest Prime factor of 'i' is 'i' itself
spf = [i for i in range(size)]
# Smallest Prime Factor of any Even Number is 2
for i in range(2, size, 2):
spf[i] = 2
for i in range(3, int(sqrt(size)), 2):
if spf[i] == i:
for j in range(i * i, size, i):
if spf[j] == j:
spf[j] = i
return spf
def solve(N, spf):
# Calculates the Sum of Square Factors of N
# Stores the powers of prime factors of N
power = defaultdict(int)
# Numerator and Denominator for formula
num = 1
den = 1
# Factor N in Logarithmic time
while N > 1:
power[spf[N]] += 1
N //= spf[N]
# Implementation of the formula
for base in power:
num *= pow(base ** 2, power[base]//2 + 1) - 1
den *= base ** 2 - 1
return num // den
def main():
spf = computeSPF()
testcases = int(input())
for test in range(testcases):
N = int(input())
print(solve(N, spf))
Time Complexity: O(\log{N}) per test case