I know that maths is an important aspect of competitive programming, But on what aspect a question related to direct integration has appeared on long challenge. Never expected this kind of irrelevant question on long challenge. Not every body comes from a proper maths background to solve such questions. This is not a maths olympiad that the problem settler are giving such kind of direct integration. Please do not give anything for making the question irrelevant and hard. This is a real disgrace. .
Do not conduct long challenge if you all cannot give proper questions which are really interesting and challenges a person to be better.
Desmos really helped to solve this problem.
Lmao yes
I hope some day we will go back to the way when codechef actually gave better question (DSA questions).
Hope so…Else we need to leave codechef
Can you explain how?
Was there any observation?
One can graph that equation from desmos graphing calculator, and then find the answer for that integral in decimal values for each N. And then we’ve to convert that into possible fractions which follows a pattern.
I calculated integral up to 9 with Scipy.
. I observed the pattern(With little bit of luck and maths) it was sum of HP -
2/1, 2/1+2/3, 2/1+2/3+2/5, 2/1+2/3+2/5+2/7 …
Yupp. I also struggled a lot before finding out the actual pattern.
Completely agreed we all are here for learning some data structures and algorithms and not integration , I don’t think giving tough mathematical question to make difficult question a good idea. There was a time when each question of codechef helped us learn some new concepts of coding but now the standard of questions is degrading and seeing people guessing test cases and using tricks to find tc getting a AC without solving the problems is quite disappointing . I would request admin to void the question for those who have simply written the output without solving things.
Completely agree with you, Long challenge starts losing its value. There was a time when Long challenge has good DSA based questions. But now long challenge question is only about observations.
Yeah…But i got the pattern of integration. It was 2/2n-1.
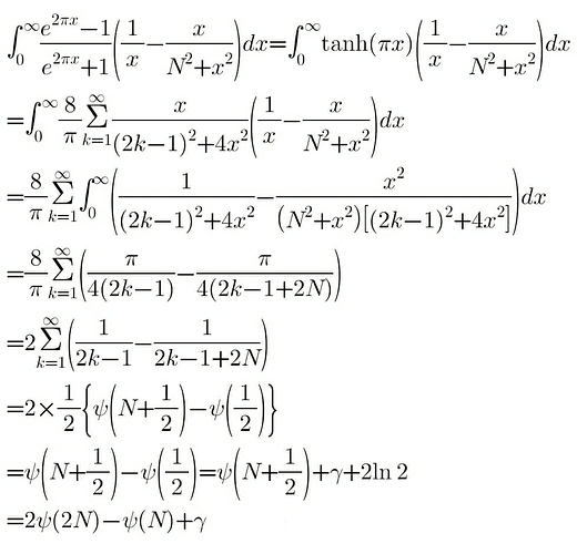
I figured that out by the integration given below .
Hope it helps.
For this (Calculus) ,I have to revise my IIT prep integral book

I do think that it’s okay to ask such a problem in a long challenge where you have enough time to learn new concepts(I was able to solve it using Cauchy Residue theorem after studying it) and try multiple approaches. Had it been a 3hr contest, there’s no question such a problem will be present.
See the name of the problem-setter. He is the new problemsetter/contest-admin and contest-creator of codechef.
He did create highly unbalanced contest in last lunchtime as well.
Future contests will be of similar type unless some people provide feedback to codechef.
Really, this question is not for CP.
Next time, they might add jee physics questions,mole concept,etc. And cover it by saying : Atleast you wrote code, so its a programming question.
This is your method or any book has this problem??
Can you send me the scipy script?
Can’t agree with you more , so much algorithms are there to learn and they gave integration . I always hated this topic .
Only if they bothered to give any consideration to the feedback provided.
from scipy.integrate import quad
import numpy
n=int(input())
for j in range(1,n):
def f(x):
return ((exp(2*pi*x)-1)/(exp(2*pi*x)+1))*((1/x)-(x/(j*j+x**2)))
i = quad(f,0,numpy.inf)
print(i)
