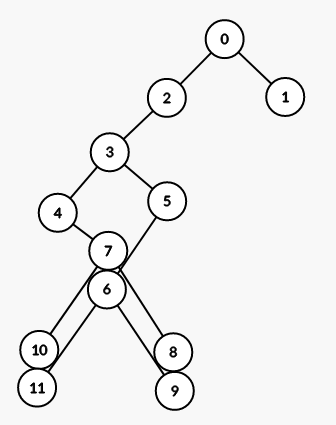
For TC - [0,2,1,3,null,null,null,4,5,null,7,6,null,10,8,11,9]
My O/P - [[4,10,11],[3,7,6],[2,5,8,9],[0],[1]]
Expected - [[4,10,11],[3,6,7],[2,5,8,9],[0],[1]]
Can someone explain why it should be [3,6,7] ? In TC, 7 comes before 6
For TC - [0,2,1,3,null,null,null,4,5,null,7,6,null,10,8,11,9]
My O/P - [[4,10,11],[3,7,6],[2,5,8,9],[0],[1]]
Expected - [[4,10,11],[3,6,7],[2,5,8,9],[0],[1]]
Can someone explain why it should be [3,6,7] ? In TC, 7 comes before 6
If two nodes have the same position, then the value of the node that is reported first is the value that is smaller.

Here, nodes with touching sides have same co-ordinates.
So, acc to you should it be [3,6,7] or [3,7,6] ?
position of 3 = 0 - 1-1 , 0-1-1 => -2,-2
position of 6 = 0 -1-1+1-1 , 0 -1 -1 -1 -1 => -2,-4
position of 7 = 0 -1 -1 -1 +1 , 0 -1 -1 -1 -1 => -2,-4
they are in same block because value of x is same . 3 comes first because the value of y of 3 is highest (-2) . 6 comes second because 6 is smaller than 7
Since 6 and 7 have the same co-ordinates and 6<7, it should be [3,6,7]